Un Salon de l’Agriculture sous tension
En cette fin de février et début de mars se tient à Paris le Salon de l’Agriculture qui après près de trois ans de pandémie renoue avec une tradition bien établie et avec probablement autant sinon plus de visiteurs qu’en 2019. Cette fête du monde agricole ne doit cependant pas cacher les fortes préoccupations des agriculteurs sur la pérennisation de leur métier et de leurs exploitations (1).
Comme nombre de PME ils sont frappés par le coût de l’énergie, gaz, électricité et fuel ; s’y ajoute l’augmentation du prix des engrais et intrants, les diverses réglementations concernant les phytosanitaires et enfin la sécheresse qui semble s’installer durablement, indice du changement climatique.
1. L’énergie
Comme nombre d’entreprises qui ne bénéficient pas du bouclier tarifaire les agriculteurs doivent faire face à une augmentation plus ou moins forte des tarifs de l’électricité, du gaz et du fuel pour les engins agricoles. Ils peuvent cependant bénéficier de subventions du ministère et de l’ADEME dans le cadre de l’accélération des énergies renouvelables. Pour les installations de biométhane (2), on sait qu’il est possible par fermentation bactérienne anaérobie de traiter les déchets végétaux et déjections animales par hydrolyse acidogénèse puis acétogénèse donnant un acide acétique qui se transforme en gaz CH4 + CO2 en laissant un digestat riche en azote et ammoniaque. Il y a maintenant en France 1600 unités dont 966 produisant de l’électricité et 442 qui après purification injectent le méthane dans le réseau. GDF rachète le biométhane entre 95 € et 45 € le m3 et EDF 140 à 190 € le MWh ce qui peut faire un complément de revenu agricole.
Se met en place aussi l’agrivoltaïque, qui consiste à mettre au-dessus d’une culture habituelle des nouveaux panneaux solaires semi transparents qui fournissent de l’électricité en fonction de l’ensoleillement qui profite aussi aux cultures sous-jacentes. Les nouveaux panneaux (3) avec des rendements de l’ordre de 20% vont bientôt être concurrencés par les panneaux PV tandems qui mêlent silicium et pérovskites avec un rendement amélioré. L’IPV de Saclay que nous connaissons bien s’apprête à lancer une fabrication industrielle de tels panneaux en Alsace avec VOLTEC Solar.
2. Les intrants
Après la crise du gaz en Europe dont les prix avaient atteint des sommets en mars 2022, la pénurie d’ammoniac (4) avait aussi atteint les engrais azotés qui avaient dépassés les 1000 €/t en avril 2022 semant la panique notamment dans les exploitations familiales. Depuis, le cours du gaz est retombé à un niveau de l’ordre de 50 € le MWh, l’ammonitrate est aussi retombé à environ 500 €/t et l’urée à 400 €/t, niveaux qui cependant sont le double de ceux de 2020. Cela entraine une « sobriété » dans l’épandage de ces engrais qui, sans aller vers une agriculture « bio » qui représente en France environ 7 à 10 % des exploitations, va tout de même modifier le rendement des sols et probablement une baisse de revenus.
3. Les insecticides et l’Europe
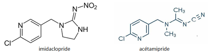
Sans revenir sur « le glyphosate » interdit en Europe mais toujours pas sur d’autres continents, en janvier une directive de Bruxelles met fin aux dérogations nationales sur les néonicotinoïdes (5) enrobés autour de la graine de betterave. La France avait interdit dès 2018 plusieurs insecticides qui agissent sur le système nerveux des insectes dont l’imidaclopride et l’acétamipride. Huit États européens avaient profité de cette dérogation pour autoriser leurs agriculteurs à utiliser les semences déjà enrobées pour la campagne betteravière 2023. En France le ministre de l’Agriculture a l’interprétation la plus stricte, celle où le directive de Bruxelles s’applique immédiatement. Les betteraviers français protestent devant cette concurrence qui s’installe entre productions européennes en rappelant qu’en 2020 leur récolte avait été amputée de 30% suite aux attaques de pucerons ravageurs. Ils sont d’autant plus remontés qu’en Allemagne l’acétamipride est autorisé en pulvérisations.

Même si on voit dans la structure des deux molécules une assez forte différence dans la chaine azotée (6) il est probable que leur mode d’action sur les insectes ravageurs est de même type. Une fois de plus on constate que le principe de précaution vis-à-vis de l’environnement et de la biodiversité se heurte à des considérations de concurrence entre États.
4. L’eau recyclée
L’impact du changement climatique se fait ressentir, l’augmentation des températures et la baisse des précipitations se traduisent par une baisse des rendements et de la qualité des produits agricoles (7). Dès lors, la réutilisation des eaux usées (REUT) est une alternative qui devrait permettre la pérennisation de l’agriculture et la préservation des ressources en eau. Déjà pratiquée en Italie et en Espagne (8 et 14% respectivement), peu développée en France où sur le gisement de 8,4 Mrds de m3 seuls 8 à 10 millions de m3 sont utilisés chaque année, alors que le gisement exploitable est 1,6 Mrds.
Et pourtant ces eaux usées présentent de multiples avantages pour l’agriculture – elles pallient un problème temporaire d’accès à l’eau d’irrigation – leur volume n’est pas soumis aux arrêtés préfectoraux de restriction d’usage de l’eau - si aucun traitement de dénitrification et de déphosphorisation n’est réalisé par la station d’épuration leurs teneurs en éléments fertilisants organiques n’est pas négligeable (8).
Bien sûr elles doivent obéir à une réglementation stricte et à des prescriptions sanitaires pour ne pas mettre en danger la santé publique. Suivant leurs qualités elles sont classées en quatre classes en fonction de l’usage :
- pour les cultures maraîchères, fruitières et légumières non transformées par un traitement thermique - qualité A
- pour les cultures maraichères, fruitières et légumières transformées par un traitement thermique – qualité A ou B
- pour les cultures céréalières et fourragères – qualité A ou B ou C*

Selon l’arrêté du 18 juillet 2015 relatif aux systèmes d’assainissement collectifs et non collectifs (legifrance.gouv.fr),
figure provenant du site Bonnes pratiques pour l’eau du Grand Sud-Ouest
Il ne faut pas se cacher que la procédure pour en arriver à l’irrigation est complexe, il faut avoir accès aux eaux usées par une collectivité ou une société locale d’eau et d’assainissement. Il faut ensuite confier le stockage et la distribution à une société prestataire agrée et financer ces opérations par le groupe d’agriculteurs concernés. Si dans les régions littorales le REUT est plus adapté car il vise à la réutilisation de l’eau douce avant son rejet à la mer dans les régions continentales il pose plus de problèmes. D’autant que les prescriptions européennes en matière de classement semblent se durcir en 2023.
Jean-Claude Bernier
février 2023
Pour en savoir plus
(1) Série chimie et agriculture durable pour tous (vidéos), Mediachimie.org
(2) Les déchets valent de l’or ! (fiche Chimie et... en fiches, Mediachimie.org)
(3) Les nouvelles filières photovoltaïques (vidéo, CNRS)
(4) Comment fabriquer des engrais avec de l’air : la synthèse de l’ammoniac (série Une réaction en un clin d'oeil, Mediachimie.org)
(5) Chimie de synthèse et agriculture durable peuvent-elles faire bon ménage ? (fiche Chimie et... en fiches lycée, Mediachimie.org)
(6) Les chimistes dans : L’industrie des phytosanitaires (série Les Chimistes dans, Mediachimie.org)
(7) H2O, la molécule vedette de l’été (éditorial, Mediachimie.org)
(8) Fiche orientation : secteur du traitement de l’eau (Mediachimie.org)
Crédit illustration : Les Haines, licence CC BY 2.0, PxHere