Quelles différences entre farines et fécules ? Et comment choisir ?
Bientôt les fêtes, et donc la période des gâteaux ! Pour faire des gâteaux, on utilise des matières grasses, de l'eau, éventuellement des œufs, mais les deux ingrédients essentiels sont le sucre(i) et la farine.
Ici on ne va s’intéresser qu’à la farine ou plutôt aux différentes sortes de farine. En effet il n'y a pas que la farine de blé, car de nombreuses plantes, et pas seulement des céréales, peuvent donner des farines utilisables en cuisine. Elles sont obtenues en broyant des graines de céréales (blé, orge, épeautre, maïs...), de légumineuses (lentilles, pois chiches, haricots, soja…), de racines (manioc, pommes de terre), etc.
Elles contiennent toutes essentiellement de l’amidon. Il y a également des protéines (gluten par exemple), et d’autres composés comme des fibres si la farine est faite avec des graines complètes (avec leurs enveloppes).
L’amidon n’est pas constitué d’une seule et même molécule mais a une structure complexe qui varie selon la plante dont il est issu, d’où l’apparition de différences entre les farines.
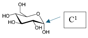
Pour comprendre cela, il nous faut tout d’abord parler du D-glucose et de ses polymères à partir desquels est constitué l’amidon. On peut le représenter dans un plan et en perspective. Mais le cycle n'est pas plat, et on préfèrera la représentation dite « chaise ». Il existe 2 structures(ii) nommées α et β, selon la position dans l’espace du groupe OH porté par le carbone numéroté 1 (figures 1a et 1b). Le D-glucose est un sucre simple.
![]() | ![]() |
| Fig. 1a. α-D glucose | Fig. 1b. β-D glucose |
Les polymères de glucose et l'amidon
Des molécules de D-glucose peuvent s’associer entre elles pour donner de longues chaines appelées polymères de glucose. Il y a dans la nature de nombreux homopolymères(iii) du glucose selon la façon dont les molécules s’enchaînent.
On observe ainsi parmi ceux-ci(iv), deux enchainements possibles conduisant à deux homopolymères de glucose, l’amylose et l’amylopectine, qui constituent l’amidon.
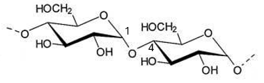
L’amylose est un polymère linéaire formé de plus de 1.000 unités D-glucose liés par des liaisons O-glycosidiques (α-1,4) (figure 2a).

Fig. 2a. Les numéros des atomes de carbone auxquels est lié l’atome O sont indiqués.
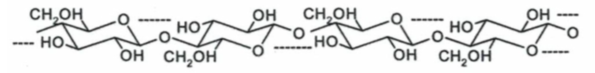
Elle prend une structure hélicoïdale stabilisée par des liaisons hydrogène entre les unités (6 unités par tour d’hélice) (figure 2b).

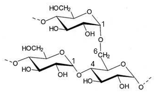
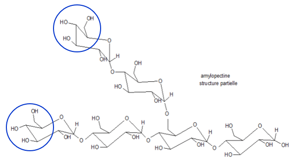
Fig. 2b. Amylose : Structure partielle ; le pointillé indique que la chaine se prolonge.L’amylopectine est ramifiée et comporte plus de 10.000 unités D-glucose unies par des liaisons O-glycosidiques intra-chaînes (α-1,4) et inter-chaînes (α-1,6) (figures 3a et 3b).
Il y a un branchement toutes les 20 unités environ. Sa structure est plus désordonnée que celle de l'amylose.


Fig. 3a. Les numéros des atomes de carbone sont indiqués Fig. 3b. Structure partielle simplifiée ; 1 seule ramification est représentée et les chaines sont évidemment plus longues.
Les farines et les compositions de leur amidon
Les proportions entre amylose et amylopectine vont être caractéristiques de l’amidon de chaque farine, dont la teneur en protéine (gluten ou autre…) est également spécifique. Ainsi blé, épeautre, orge, seigle contiennent du gluten tandis que millet, sorgho, avoine, quinoa, sarrasin n'en contiennent pas.
Pour ce qui est des ratios amylose/amylopectine on observe :
blé 35/65, maïs 25/75 (mais selon les cultivars(v) on peut avoir des chiffres très différents, comme des maïs avec un ratio jusqu'à 70/30 !), pour le manioc, la pomme de terre, en revanche il y a peu d'amylose, 20/80, et pour le riz il y a de fortes variations d’un riz à l’autre la teneur en amylose pouvant aller d’une valeur inférieure à 5% jusqu’à une valeur supérieure à 24%.
Les fécules : ce ne sont pas des farines
La plus connue est la Maïzena®. Attention ! Il s'agit d'une marque déposée et appartenant à Unilever(vi) Il vaut mieux parler de fécule de maïs. Pour faire de la fécule, on met la farine en suspension dans l'eau, on agite énergiquement et on rince plusieurs fois : on a ainsi enlevé les protéines (gluten par exemple) qui partent dans l'eau.
La fécule ne contient donc que de l'amidon, ce qui donne une poudre plus fine. Nous voilà donc de retour vers l'amidon ! Il est donc logique que les diverses fécules se distinguent par leur proportion en amylose et amylopectine, comme les farines dont elles sont issues.
La fécule est un excellent liant pour les sauces et facilite leur préparation. Il est plus facile de faire une sauce avec une fécule (celle de maïs) qu'avec de la farine.
Elle est aussi un excellent gélifiant ou épaississant. Les amidons, mis en suspension dans l'eau, chauffés puis refroidis, donnent des gels d'autant plus fermes que l'amidon est riche en amylose. En effet, les chaînes linéaires d'amylose se réassocient au cours du refroidissement, ce que ne peuvent faire les chaînes ramifiées d'amylopectine. Ainsi ceux riches en amylose (maïs) sont utilisés dans les poudres pour faire des flans. Les amidons riches en amylopectine (pomme de terre) sont plus des épaississants que des gélifiants.
La fécule est plus fine que la farine de blé et sert à alléger la pâte des gâteaux. Deux cuillerées de farine de blé équivalent à une de fécule de maïs quant à l'effet épaississant. Comment cela s'explique-t-il ? la farine est faite à partir de la mouture de la totalité de la graine (amidon + germe + enveloppe du grain), alors que la fécule ne contient que de l'amidon.
Quels critères pour choisir parmi les farines ?
Les enzymes, amylases, catalysent la digestion de l'amidon qui consiste globalement en une hydrolyse lente conduisant in fine au glucose. L’enzyme facilite la coupure des liaisons O-glycosidiques qui relient les cycles en partant d’une extrémité non réductrice de la molécule puis de proche en proche. En raison de sa structure, l'amylose est digérée plus lentement que l'amylopectine(vii). Cela peut être un critère de choix.
Actuellement, la « mode » en diététique, est de s’intéresser à l'index glycémique, IG(viii). L'IG permet de classer les aliments en fonction du pic de sucre qu'ils provoquent dans le sang. Un IG élevé, supérieur à 70, provoque un pic de la glycémie puis une chute rapide qui peut entraîner un effet « coup de barre ». Un aliment à IG modéré, entre 40 et 69, ou bas, inférieur à 40, diffuse de l'énergie plus progressivement dans l'organisme. C'est pour cet effet que certaines farines sont recommandées (voir en note le tableau d’Indice Glycémique de diverses farines(ix)).
Mais il ne faut pas se fier exagérément à l'IG, car les farines contiennent aussi des protéines, et des matières grasses, quel que soit leur IG. Il faut plutôt privilégier les farines complètes pour leurs meilleures qualités nutritionnelles. Concernant l’intolérance au gluten, les personnes concernées rechercheront pour leur régime des farines pauvres en gluten (riz, maïs, sarrasin, châtaigne, épeautre).
Conclusion
Que choisir, farine ou fécule ? La farine reste incontournable comme « matériau de base ». La fécule est un « outil » qui permet d'épaissir une sauce et de remplacer une partie de farine en rendant le plat obtenu moins énergétique puisque moins riche en glucose (50 g de fécule remplace 100 g de farine).
Coté diététique, les gâteaux restent très énergétiques car ils contiennent des matières grasses, du sucre et de la farine ou de la fécule, qui n’oublions pas conduiront à du glucose au cours de la digestion. Donc faites-vous plaisir mais avec modération si vous voulez « garder la ligne » !!
Nicole Moreau et Françoise Brénon
(i) Le sucre de table habituel est du saccharose de formule C12H22O11. Son hydrolyse conduit à du glucose et du fructose. C’est ce qui se passe au cours de la digestion du sucre.
(ii) Ces 2 structures sont dites anomères et le carbone n°1 est un site anomérique. Elles sont en équilibre par ouverture puis fermeture du cycle au niveau de la fonction acétal (entourée en rouge sur la figure ci-contre).
(iii) « homo » signifie qu'il s'agit du même sucre répété plusieurs fois, le contraire étant « hétéro ».
(iv) Il existe un autre enchainement de D-glucose (β-1,4) qui conduit à la cellulose polymère de structure des végétaux, qui peut former des fibres.

(v) Le cultivar est une variété de plante obtenue par sélection.
(vi) Maïzena sur Wikipedia.
(vii) En effet, l’attaque commence par les extrémités non réductrices des molécules de l’amylose et de l’amylopectine. Voir sur les figures 2b et 3b les parties entourées en bleu. Pour une chaîne d'amylose, il n'y a qu'une extrémité non réductrice, alors qu'il y en a plusieurs (en raison des ramifications) pour une chaîne d'amylopectine. L’extrémité réductrice est la fonction acétal (entouré en rouge) capable de s’ouvrir pour redonner l’aldéhyde réducteur. En outre, l'amylose adopte une conformation hélicoïdale, rendant l'accès des enzymes plus difficile.

(viii) Pour en savoir plus sur l’Index Glycémique, consulter Indice Glycémique sur le site Wikipedia et L’index glycémique, c’est quoi ? sur le site France Assos Santé
(ix) Indice glycémique de diverses farines
| Farine | IG |
| Son d'avoine, son de lupin | 15 |
| Amande, noisette, cacahuète | 20 |
| Soja | 25 |
| Orge mondée | 30 |
| Lentille, coco, pois chiche | 35 |
| Sarrasin, petit épeautre, avoine, | 40 |
| Quinoa, épeautre complet, blé T150 | 45 |
| Seigle T130 | 50 |
| Blé T80 | 60 |
| Châtaigne | 65 |
| Maïs, millet | 70 |
| Riz complet | 75 |
| Blé T45, fécule de maïs | 85 |
| Riz blanc, fécule de pomme de terre | 95 |
La lettre T indiquée pour certaines farines indique le taux de cendre. Plus le T est élevé, plus la farine sera complète, plus le T est bas plus la farine de froment sera blanche et riche en amidon.
Pour aller plus loin
Des additifs pour texturer des aliments, M. Desprairies, La chimie et l’alimentation, coordonné par Minh-Thu Dinh-Audouin, Rose Agnès Jacquesy, Danièle Olivier et Paul Rigny (EDP Sciences, 2010) ISBN : 978-2-7598-0562-4, p. 83
Crédits
- Figures 1a et 1b : α-D glucose et β-D glucose, Wikipedia, domaine public
- Figures 2a et 3a : Sauget, Alix, Développement de matériaux composites fibreux hautes perfomances à matrice bio-sourcée. (Thèse, Université de Lorraine, 2014) figures complétées
- Figures 2b et 3b : Zubay, Geoffrey, Biochemistry (Addison-Wesley, 1983) ISBN 0-201-09091-0
- Illustration : F. Brénon, travail personnel

