Qu'est-ce que le caramel ?
Le caramel aurait été inventé vers l'an 1000 par les arabes au cours de la manipulation du sirop de canne à sucre. Son nom, apparu au XVIIe siècle viendrait, via le portugais camelo, du latin Calamellus, diminutif de calamus, « roseau », à cause de l'analogie de forme entre le sucre durci et la tige de roseau (i).
Il ne faut pas confondre les caramels, friandises dures ou molles, contenant généralement du caramel et d'autres ingrédients (ii), et le caramel, c'est à dire la substance brune à l'odeur et au goût caractéristiques. Pour faire du caramel à la maison, on chauffe du sucre dans une casserole, éventuellement après l'avoir dissous dans un peu d'eau. Selon la durée de cuisson, on aura un caramel clair ou un caramel plus foncé.
Mais quel est donc que ce composé coloré et comment se forme-t-il ?
Les réactions
À la cuisine
Quand on chauffe la solution de sucre (ou le sucre en poudre seul), de l'eau s'évapore (la température est alors de 100°C) et le composé reste blanc. Si on continue, la température s'élève, et une couleur dorée ainsi que la bonne odeur caractéristique du caramel apparaissent vers 160°C. Si on continue à chauffer, la couleur s'intensifie et le caramel devient brun. Le stade « caramel blond » est difficile à saisir, car dès que la température de 160°C est atteinte, cela va très vite évoluer (iii)… Les industriels, pour faire des substances conférant le parfum caramel, ajoutent des produits qui vont ralentir cette évolution, comme de la crème, qui donnera des caramels mous, ou du beurre, du sel, du citron etc. (ii). Ces caramels modifiés seront alors considérés comme des additifs des friandises auxquelles ils sont ajoutés.
Que se passe-t-il ?
Si la glace fond lorsqu’on la chauffe, on la retrouve en refroidissant. C’est réversible. Pas pour le caramel.
C'est que la glace est un composé unique, H-O-H, alors que le sucre de table ou saccharose (iv), C12H22O11, est un disaccharide (v) formé de deux molécules, glucose (cycle à 6 atomes) et fructose (cycle à 5), chacune de formule C6H12O6 liées de façon très spécifique (fig. 1).

Figure 1 (vi). Formule du saccharose (G-F), du glucose (G) ou α-D-glucopyranose, du fructose (F) ou β-D-fructofuranose.
Lors du chauffage, ces deux molécules vont se séparer, et peuvent réagir l'une sur l'autre, soit comme initialement, G-F, soit F-G ou G-G ou F-F et cela en diverses positions. En outre, ces monoses sont fragiles, et comme on le verra plus loin, peuvent se modifier, ce qui complique encore les choses. En regardant les formules, avec toutes ces fonctions alcool, on comprend la difficulté de répondre à la question « qu'est-ce que le caramel ? ».
Il y a environ 200 ans Péligot [1] a fait la première publication sur le sujet, et ce n'est qu'en 1989 [2] que la fraction volatile du caramel, responsable de son odeur, a été identifiée comme le 5-(hydroxyméthyl)-2-furfuraldéhyde (fig. 2). Mais pendant longtemps, on a ignoré la nature exacte du caramel.

Figure 2 (vii). 5-(hydroxyméthyl)-2-furfuraldéhyde
Un peu plus de chimie et l'élucidation du mystère
Souvent, quand vous parlez de la chimie du caramel, on vous répond « Ah oui, bien sûr, la réaction de Maillard ! ». Ce n'est pas exact, cette dernière est caractéristique de la saveur des viandes grillées,
et nécessite la présence de protéines ou d'acides aminés [3]. Mais la caramélisation appartient, comme la réaction de Maillard, au groupe des réactions de brunissement non enzymatique des aliments. Un article de 2000 [4] élucide complètement le mystère.
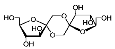
Lorsqu'on chauffe la solution de saccharose, le disaccharide s'hydrolyse en glucose et fructose. Une catalyse acide facilite la réaction, d'où l'addition recommandée de jus de citron pour faire du caramel. Le fructose donne rapidement des dianhydrides de fructose (DAF) par dimérisation (fig. 3). On sait que les monoses, représentés sous forme cyclique, sont des acétals cycliques et qu'ils sont en équilibre avec la forme ouverte (fig. 4). C'est ce qui permet d'expliquer la formation des anhydrides. Mais il y a de multiples possibilités et plusieurs isomères en équilibre. Ces molécules se retrouvent à plus de 80% dans le caramel fait avec du fructose.

Figure 3. Exemple de dianhydride de fructose, DAF
Source : L'Actualité chimique (novembre 2000) p 25 (schéma 1) [4]

Figure 4 (viii). Formes ouvertes du glucose (à gauche) et du fructose (à droite)
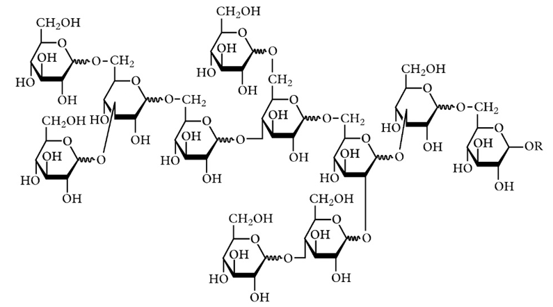
Le glucose peut s'additionner aux DAF en les glycosylant, ce qui donne des glucosyl-DAF (plusieurs, selon le groupe OH auquel il s'attache). Il peut aussi se polymériser en oligosaccharides. Sous la dénomination polydextrose, ces polymères (fig. 5) sont des additifs alimentaires autorisés utilisés comme « agents de charge » sous la dénomination de E1200. Un agent de charge est un composé qui n'est pas digestible et augmente la quantité de produit sans augmenter la valeur énergétique (ici, 1 kcal/g).

Figure 5. Exemple de polydextrose (agent de charges)
Source Heli Putaala
Authentification des caramels
Le caramel dit « aromatique » est un ingrédient largement utilisé pour l’aromatisation des desserts lactés, et le caramel « colorant » est un additif de nombreuses boissons, eaux de vie, aliments pour animaux ou encore de produits pharmaceutiques. Ces deux types de caramels sont définis depuis 1988 par la norme Afnor NF V00-100 (ix), comme devant provenir exclusivement du traitement thermique ménagé de sucres alimentaires en présence de catalyseurs définis (jus de citron, vinaigre, acide citrique...). Pour contrôler ces caramels, on peut rechercher l'agent odorant 5-(hydroxyméthyl)-2-furfuraldéhyde (fig. 2) , mais comme ce produit est commercial et bon marché, il pourrait donc être volontairement ajouté, ce qui rend sa seule recherche peu sûre. La recherche des DAFs est un moyen plus efficace de contrôle de l'authenticité des caramels commerciaux.
En cette période de consommation de friandises, il est important de savoir ce que l'on mange !
Nicole Moreau et l’équipe Question du mois
(i) Dictionnaire historique de la langue française, édition Le Robert
(ii) par exemple, dans le célèbre Carambar, on peut trouver : mono- et diglycérides d'acides gras – sirop de glucose – lait écrémé concentré sucré – sucre – huile de coprah hydrogénée – cacao maigre en poudre – sel – arôme artificiel – gélatine – cannelle, ou autres suivant le type de carambar.
(iii) H. This « A propos de caramel .
(iv) On trouve parfois le nom de sucrose, qui ne doit pas être utilisé en français, car c'est un " faux ami ", c'est le mot anglais désignant le saccharose. Le nom du saccharose dans la nomenclature est le α-D-glucopyranosyl-(1-2)-β-D-fructofuranoside.
(v) Les sucres simples sont des monosaccharides ou monoses. On parle ensuite de di-, tri-saccharides, etc.
(vi) saccharose, Don A. Carlson, Wikimedia Commons, licence CC BY-SA 3.0
glucose ou α-D-glucopyranose, Wikimedia Commons, domaine public
fructose ou β-D-fructofuranose, Wikimedia Commons, domaine public
(vii) 5-(hydroxyméthyl)-2-furfuraldéhyde , Wikimedia Commons, domaine public
(viii) glucose Christopher King, travail personnel, Wikimedia Commons, licence CC BY-SA 3.0
fructose , Wikimedia Commons, licence GPL
(ix) Afnor NF V00-100
Pour en savoir plus
[1] Péligot E., Ann. Chim. Phys., 2nd Ser. (1838) 67, p. 113
[2] Cottier L., Descotes G., Neyret C., Nigay H., Ind. Aliment. Agric. (1989) 106, p. 567
[3] Ledl F., Schleicher E., Angew. Chem., Int. Ed. Engl. (1990) 29, p. 565
[4] Les molécules de la caramélisation : structure et méthodologies de détection et d'évaluation, Defaye J., Garcia Fernandez J.M., Ratsimba V., L'Actualité chimique (novembre 2000) p. 26-27
[5] Et pour sourire à propos du caramel : « Caramel » - produit du jour- Société Chimique de France (SCF)
Crédit illustration : --Where next Columbus? (talk) Wikimedia Commons, licence CC BY-SA 3.0