Découvrir la chimie Médiathèque

Petites et grandes histoires de la pénicilline ou comment arrivent les grandes découvertes

Mots clés : Roger Heim, Ernest Duchesne, Alexander Fleming, Howard Florey, Ernst Chain, Penicillium
Petites et grandes histoires de la pénicilline ou comment arrivent les grandes découvertes

Professeur de mycologie au Muséum, Roger Heim (1900-1979) est connu pour ses travaux novateurs sur les champignons sacrés du Mexique, les psilocybes hallucinogènes. De 1951 à 1965, il a été également directeur du Muséum, qu’il a redynamisé. Dès cette époque, il a été un pionnier dans la prise de conscience des menaces pesant sur la nature et la biodiversité, par ses propos, ses actions et sa contribution à la création en 1948 de l’UICN * dont il a été président de 1954 à 1958. Résistant, il a été dénoncé, arrêté par la Gestapo en 1943 et déporté d’abord à Buchenwald, puis à Mauthausen et enfin au commando de Gusen, où il subit 14 mois de tortures.

Un commentaire sur cette période, qui circulait à mes débuts au Muséum, était que, durant sa captivité, Roger Heim, fin connaisseur des champignons, laissait moisir sa ration de pain de façon à compléter son repas par des protéines fongiques. Intrigué, je lui posai la question lors d’une de ses visites au laboratoire de chimie. Il me répondit qu’affamé, il mangeait le pain sans attendre. Mais dans un petit film interview de Claude Dagues et Jean Thévenot, « Les Champignons sacrés » (en direct du Muséum - ina.fr), il précise cette histoire avec le dialogue suivant (Fig. 1). À la question : « Avez-vous eu l’occasion de vous intéresser à la pénicilline ? » Roger Heim répond : « Pas directement, mais peut-être je peux vous raconter une histoire inédite : c’était en 1945, au camp de Mauthausen-Gusen. Les rations de pain se faisaient de plus en plus petites et le pain était moisi. Et je m’apercevais que les camarades russes, échangeaient très volontiers leur pain sain, contre du pain moisi, à poids égal et même en quantités moindres. Et un soir, à côté de moi il y avait un Russe qui était probablement un ancien commissaire du peuple et je lui pose la question : mais enfin pourquoi tes camarades mangent-ils du pain moisi ? Eh bien écoute, je vais te le dire : ils s’aperçoivent qu’en mangeant du pain moisi, ils ont moins d’anthrax, moins de furoncles et qu’ils résistent mieux à l’infection. Fais donc comme eux. C’était en mars 45 et j’ai fait comme eux. Et je me suis aperçu qu’effectivement en mangeant du pain moisi nous n’avions pas autant d’infection, que l’anthrax et les furoncles disparaissaient. J’ignorais complètement l’existence de la pénicilline et c’est deux mois plus tard, à la libération, quand on a prononcé le mot de pénicilline que j’ai su ce que c’était, que j’ai fait ce rapprochement avec la découverte des Russes. Evidemment, le Penicillium du pain de Mauthausen n’était probablement pas le P. notatum. C’était une autre espèce, mais la plupart des Penicillium renferment des antibiotiques et celui du camp de Mauthausen était certainement efficace, si bien que l’on peut dire que les paysans russes du camp de Mauthausen avaient trouvé, en même temps que Fleming, que certaines moisissures pouvaient donner des résultats du point de vue thérapeutique contre les infections. C’est une très belle histoire, mais on pourrait trouver d’autres exemples. Ce qui est vrai des simples paysans russes, est peut-être vrai dans le passé aussi de certains observateurs dont l’acuité, malgré la simplicité même de la position, leur a permis de faire des découvertes empiriques, mais fondées sur des expériences ou des observations exactes ».

Roger Heim

Fig. 1. Roger Heim (1900-1979)
Extrait de « En direct du Muséum (ina.fr) Les Champignons sacrés » Claude Dagues et Jean Thévenot.

Effectivement, l’utilisation de moisissures comme les Penicillium, pour traiter des infections était connue dès l’antiquité. Dans l'ancienne Chine, par exemple, on faisait régresser des panaris à l'aide de peaux de fruits moisis.

En 1877, Louis Pasteur et Jules François Joubert ont observé que les cultures du bacille du charbon (Bacillus anthracis) étaient inhibées lorsqu'elles étaient contaminées par des moisissures, parmi lesquelles Louis Pasteur aurait identifié un Penicillium notatum.

Un peu plus récemment, dans sa thèse de médecine intitulée « Contribution à l’étude de la concurrence vitale chez les micro-organismes : antagonisme entre les moisissures et les microbes », soutenue en 1897 à l’université de Lyon, le jeune médecin Ernest Duchesne (1874-1912) qui étudiait l'interaction du Penicillium glaucum avec la bactérie Escherichia coli a montré son activité antimicrobienne. Il n’affirme pas que la moisissure renferme une substance antibactérienne, mais simplement qu’elle protège les animaux traités. Puis ses travaux sont tombés dans l’oubli.

C’est à Alexander Fleming (1881-1955) que l’on doit la première découverte clairement formulée. En 1928, dans son laboratoire du St Mary's Hospital à Londres, il étudiait les staphylocoques, un genre de bactéries à Gram positif responsables de nombreuses infections humaines et animales, et il en faisait des cultures en boîtes de Petri (Fig. 2). À son retour de vacances en septembre, il retrouva ses boîtes envahies par des colonies cotonneuses de moisissures d'un blanc verdâtre : ses cultures avaient été contaminées par des souches du champignon microscopique, Penicillium notatum, qui étaient étudiées dans le laboratoire voisin. On rapporte qu’il y avait souvent beaucoup de désordre dans son laboratoire. Ce genre de contamination n'est pas rare. Mais, avant de les jeter, Fleming a eu le réflexe d’examiner attentivement les cultures contaminées et a constaté que les staphylocoques ne se développaient pas à proximité de la moisissure. Il a émis l'hypothèse que cette dernière synthétisait une substance qui bloquait le développement de la bactérie et l'a nommée « pénicilline G » ** (Fig. 3). Fleming a publié sa découverte en 1929 et en a signalé les possibilités thérapeutiques. Ses collaborateurs Craddock et Ridley s’efforcèrent en vain de purifier et d'isoler la pénicilline en quantité importante. Puis, la découverte de Fleming intéressa moins de monde et il rechercha d'autres micro-organismes producteurs d'antibiotiques.

Fig. 2. Alexander Fleming (1881-1955), dans son laboratoire de St Mary's, Paddington, Londres (1943).
Crédit : Wikimedia Commons, domaine public

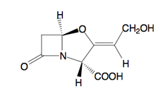
pénicilline G

Fig. 3. Pénicilline G

Mais, une dizaine d’années plus tard, dans les années 1940, une équipe de recherche pluridisciplinaire, dont Howard Florey (1898-1968, médecin britannique), Ernst Chain (1906-1979, chimiste allemand naturalisé britannique) et de Norman Heatley (1911-2004, biologiste britannique), a trouvé le moyen de produire la pénicilline en grandes quantités. Des variants de la pénicilline G ont été découverts. La purification des différentes pénicillines a été difficile car les méthodes de purification (chromatographies) l'étaient encore, et il en était de même pour les méthodes de déterminations structurales. Cette industrialisation à grande échelle a été largement développée pendant la Seconde Guerre mondiale. Dès les années 1942-1944, la pénicilline a été isolée à l’échelle industrielle et commercialisée. Des collaborations anglo-américaines se sont développées pour la purification et la détermination de structure de la pénicilline. Au cours des travaux, il est apparu que les différentes pénicillines avaient un noyau en commun. La firme Eli Lilly (Indiana, États-Unis) pouvait produire 40 milliards d'unités de pénicilline. En 1943, Florey et son équipe recevaient assez de pénicilline pour des essais sur des blessés britanniques. Ils se rendirent à Alger, où se trouvaient les troupes alliées, afin de procéder avec succès à des injections.

Les chimistes de cette époque ne disposaient que de peu de méthodes pour la purification de ces substances (recristallisation) et la chromatographie n’en était qu’à ses débuts : quand Abraham utilisait la chromatographie d’adsorption pour purifier la pénicilline en 1940, il fit figure de pionnier, car cette technique venait d’apparaître. De même, les méthodes actuelles de détermination des structures des molécules n’étaient pas au point, la spectrométrie de masse ne se développa qu’à partir des années 1950 et la résonance magnétique nucléaire (RMN) à partir des années 1960. Ernst Chain a dit plus tard que « la pénicilline était probablement la dernière molécule organique d'origine biologique à avoir été analysée en faisant appel aux méthodes classiques de la chimie organique ».

En 1943, de nombreux progrès ont été faits : les structures de plusieurs produits de dégradation de la pénicilline ont été élucidées à l'aide de caractérisations chimiques et des hypothèses concernant la structure de la pénicilline ont été émises. La première émane du chimiste anglais Robert Robinson (1886-1975) qui propose l'existence d'un noyau oxazolone (Fig. 4). R. Robinson est considéré comme l’un des « pères » de la chimie organique moderne et a développé de nombreuses méthodes de synthèse de substances naturelles, alcaloïdes, flavonoïdes, stéroïdes, terpènes… En 1947, le prix Nobel de chimie lui a été décerné pour ses apports à la synthèse de ces molécules. Mais son hypothèse de la présence d’un cycle oxazolone dans la pénicilline se révèlera erronée. Chain et Abraham en revanche soutiennent celle qu'un noyau β-lactame, c'est-à-dire d’un amide cyclique à 4 chaînons, au centre de la structure (Fig. 4). Cette hypothèse s’est révélée exacte.

structures oxazolone et beta-lactame

Fig. 4. Oxazolone (à gauche) et béta-lactame (à droite)

En 1945, le prix Nobel de physiologie a été décerné à A. Fleming, H. Florey et E. Chain pour leurs travaux sur la pénicilline et ses applications thérapeutiques et A. Fleming a été anobli la même année.

Mais ensuite, les bactéries productrices d’antibiotiques à β-lactames (pénicillines) ont développé une capacité de résistance par la production d’enzymes lytiques, nommées β-lactamases, capables d’ouvrir par hydrolyse le cycle β-lactame de pénicillines et donc d’inactiver leur action antibiotique. Heureusement, en 1977, C. Reading et M. Cole ont découvert et isolé un inhibiteur de ces β-lactamases à partir d’une souche de la bactérie Streptomyces clavuligerus, nommé acide clavulanique (Fig. 5) et capable d’inhiber les β-lactamases. L’association pénicilline/acide clavulanique est ainsi un antibiotique efficace, nommé « Augmentin ».

acide clavulanique

 Fig. 5. Acide clavulanique

Pasteur avait déjà dit au sujet de découvertes du type de celle de la pénicilline, que le hasard ne favorisait que les esprits préparés.

 

* UICN : Union Internationale pour la Conservation de la Nature.
** Pénicilline G : la lettre « G » signifie « Gold Standard ».  



Pour en savoir plus :

Auteur(s) : Bernard Bodo
Niveau de lecture : pour tous
Nature de la ressource : article